Skip to content Skip to sidebar Skip to footer

How To Get Rid Of An Exponent In An Equation : We can solve equations in which a variable is raised to a rational exponent by raising both sides of the equation to the reciprocal of the exponent.

How To Get Rid Of An Exponent In An Equation : We can solve equations in which a variable is raised to a rational exponent by raising both sides of the equation to the reciprocal of the exponent.. 👉 learn how to solve exponential equations in base e. Take the natural log of both sides: Then, solve the new equation by isolating the variable on one side. Take the log of both sides. But there are some rules about how to do this, along with the potential trap of false solutions.

This video is part of an online course, college algebra. All you have to do is remember that a logarithm is the inverse of an exponent. 👉 learn how to deal with rational powers or exponents. Solve for x in the equation. For example consider the seemingly simple equation x = 10 x.

Https Encrypted Tbn0 Gstatic Com Images Q Tbn And9gcspkv7u9wptrkz3s0ncpdj2ythbzxmuvwosjsy9so8nalztqgnj Usqp Cau
Https Encrypted Tbn0 Gstatic Com Images Q Tbn And9gcspkv7u9wptrkz3s0ncpdj2ythbzxmuvwosjsy9so8nalztqgnj Usqp Cau from
In order to do that, we have to use inverse operations to get everything to the other side of the equation. Lesson 15 equations with fractional exponents 2 steps for solving equations with fractional exponents: Let us see some other examples to make the concept clear. We cannot get the x out of the exponent without putting the other x into a logarithm. For example, consider the following equation: Solving for an exponent (that is, when a variable rather than just a number appears in an exponent), usually requires the use of logarithms, which have handy rules associated with them that help exponent problems. Remember that when a a a is a positive real number, both of these equations are true: (3) look at some other examples, negative property usage.

👉 learn how to solve exponential equations in base e.

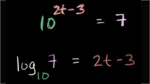
How to get rid of an exponent in an equation. To check your work, plug your answer into the original equation, and solve the. What you do in simple equations is take the square root (or cube root or 4th root or whatever root corresponds to the degree of the exponent) of both sides of the equation. But there are some rules about how to do this, along with the potential trap of false solutions. When you have a fractional exponent, the numerator is the power and the denominator is the root. Remember that when a a a is a positive real number, both of these equations are true: Since ln(e)=1, the equation reads ln(80) is the exact answer and x=4. An exponent or power is a number that signifies a repeated multiplication operation. For example, log 10 100 = 2 is the same as 10 2 = 100. This equation can only be solved approximately using a computer. An exponential equation is an equation in which a variable occurs as an exponent. 👉 learn how to solve exponential equations in base e. Exponents are shorthand for repeated multiplication of the same thing by itself.

In order to do that, we have to use inverse operations to get everything to the other side of the equation. Solve for x in the equation. Exponents are shorthand for repeated multiplication of the same thing by itself. Let us see some other examples to make the concept clear. So, you will express the movement with an e.

How To Get Rid Of Exponents In An Algebraic Equation
How To Get Rid Of Exponents In An Algebraic Equation from s3-us-west-1.amazonaws.com
Basically, logarithms are simply an exponent in a different form, so that's why you can use them to eliminate exponents. Take the natural log of both sides: An example would be helpful. An exponent or power is a number that signifies a repeated multiplication operation. For example, consider the following equation: In the variable example x a b x^ {\frac {a} {b}} x b a , where a a a and b b b. Think of it this way: Solve the following equations for 𝑥 and.

In this lesson we'll work with both positive and negative fractional exponents.

This video is part of an online course, college algebra. Convert from a fractional exponent to a radical 3. So, you will express the movement with an e. Take the log of both sides. Check out the course here: It means you get rid of negative exponents by changing its position in a fraction. To solve an exponential equati. In this lesson we'll work with both positive and negative fractional exponents. Isolate the variable that has a fractional exponent 2. Take the natural log of both sides: Remember that when a a a is a positive real number, both of these equations are true: This is an exponential equation because the x is in the exponent. Simplify the left side of the above equation using logarithmic rule 3:

It means you get rid of negative exponents by changing its position in a fraction. In order to solve for x, we need to get rid of the 5. In scientific notation 183857.419 becomes 1.83857419e+5 as for this number, the decimal point has moved 5 digits left. Simplify the left side of the above equation: In the variable example x a b x^ {\frac {a} {b}} x b a , where a a a and b b b.

What Fraction Would I Put On The Right Side Of The Chegg Com
What Fraction Would I Put On The Right Side Of The Chegg Com from media.cheggcdn.com
This lesson will cover how to find the power of a negative exponent by using the power rule. By taking the log of an exponential, we can then move the variable (being in the exponent that's now inside a log) out in front, as a multiplier on the log. Simplify and combine like terms sometimes, if you're lucky, you might have exponent terms in an equation that cancel each other out. Solve for the variable by using roots and/or exponents (principle of powers) example 1: An exponent or power is a number that signifies a repeated multiplication operation. Simplify the left side of the above equation: In this lesson we'll work with both positive and negative fractional exponents. An exponential equation is an equation in which a variable occurs as an exponent.

It means you get rid of negative exponents by changing its position in a fraction.

* invert the operations that were applied to the exponential in the reverse order in which they were applied. 👉 learn how to solve exponential equations in base e. For example, log 10 100 = 2 is the same as 10 2 = 100. To solve an exponential equation, take the log of both sides, and solve for the variable. Check out the course here: Solve the following equations for 𝑥 and. For example, consider the following equation: Solving for an exponent (that is, when a variable rather than just a number appears in an exponent), usually requires the use of logarithms, which have handy rules associated with them that help exponent problems. An exponential equation is an equation in which a variable occurs as an exponent. (3) look at some other examples, negative property usage. If exponential expression and the whole number is not on one side, rework the equation so that the exponent is alone on one side. For the 2 sides of your equation to be equal, the exponents must be equal. 👉 learn how to solve exponential equations in base e.

For example, log 10 100 = 2 is the same as 10 2 = 100 how to get rid of an exponent. The result is that the exponential stands alone on one side of the equation, which now has the form b f = a,.